Уведомления
Авторизуйтесь или зарегистрируйтесь, чтобы оценивать материалы, создавать записи и писать комментарии.
Авторизуясь, вы соглашаетесь с правилами пользования сайтом и даете согласие на обработку персональных данных.
Физики предложили универсальный язык для мира электричества, чтобы завершить полуторавековой спор
Ученые из МФТИ разработали и предложили новую систему единиц для электродинамики, способную примирить два главенствующих, но исторически несовместимых подхода. Эта компромиссная система, названная авторами физико-технической (ФТ), сохраняет практическое удобство Международной системы единиц (СИ), используемой инженерами по всему миру, и в то же время отражает теоретическую стройность и симметрию гауссовой системы (СГС), предпочитаемой физиками-теоретиками.
Со времен Максвелла, объединившего законы электричества и магнетизма в XIX веке, научное сообщество разделилось на два лагеря в вопросе о том, на каком «языке» лучше всего описывать эти явления. С одной стороны, инженеры и экспериментаторы во всем мире полагаются на Международную систему единиц (СИ), в которой ключевыми единицами признаны амперы, вольты и омы — величины, непосредственно измеряемые в лабораториях и лежащие в основе всей современной электротехники. С другой стороны, физики, работающие на переднем крае теоретической науки, в частности в области квантовой теории поля и теории относительности, традиционно предпочитают гауссову систему СГС (сантиметр-грамм-секунда). Причина такого предпочтения кроется в элегантности: в системе СГС фундаментальные уравнения Максвелла принимают более симметричный вид, не содержат некоторых «искусственных» констант и нагляднее отражают глубинную связь между электричеством и магнетизмом как проявлениями единого поля.
Этот раскол создает постоянные трудности в образовании и научных коммуникациях. Студентам-физикам приходится, по сути, осваивать два разных математических формализма: один для решения практических задач в лаборатории, другой — для теоретических выкладок. Переход между системами требует не простого пересчета, а изменения самой формы уравнений, что порождает путаницу и мешает формированию целостной картины мира. Именно эту проблему и взялись решить авторы новой работы. Результаты исследования опубликованы в журнале «Современная электродинамика».
Физики из МФТИ предложили не создавать очередную систему с нуля, а модифицировать существующую и общепринятую систему СИ таким образом, чтобы она вобрала в себя главные достоинства гауссовой системы. Они хотели создать единый формализм, который бы одинаково хорошо подходил и для описания электрических цепей, и для фундаментальных уравнений электромагнитного поля. Для этого исследователи сохранили неизменными все основные единицы СИ, включая ампер, вольт, ом, фарад и генри — стандарт в технике и измерительных приборах.
В процессе подготовки статьи авторами обнаружили, что такая система единиц уже предлагалась ранее Геннадием Труновым, член-корреспондентом Российской Метрологической Академии, кандидатом технических наук, доцентом кафедры «Общая физика» Пермского государственного технического университета, под названием теоретическая система электромагнитных единиц.
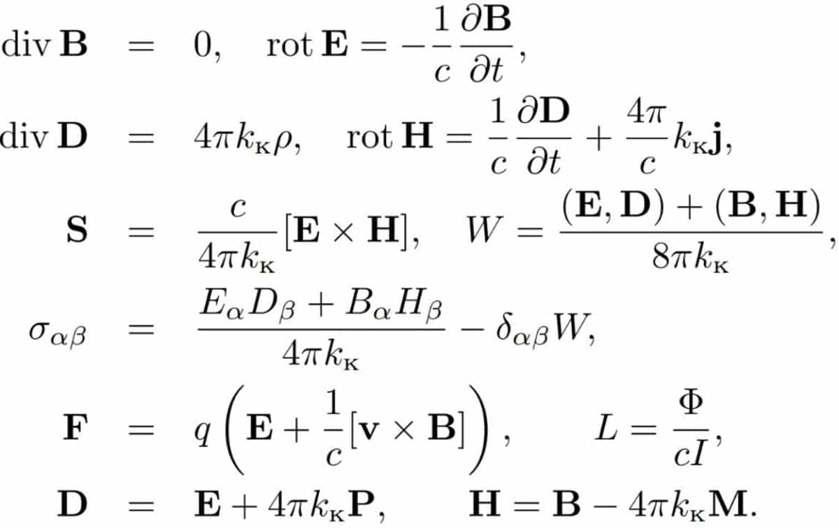
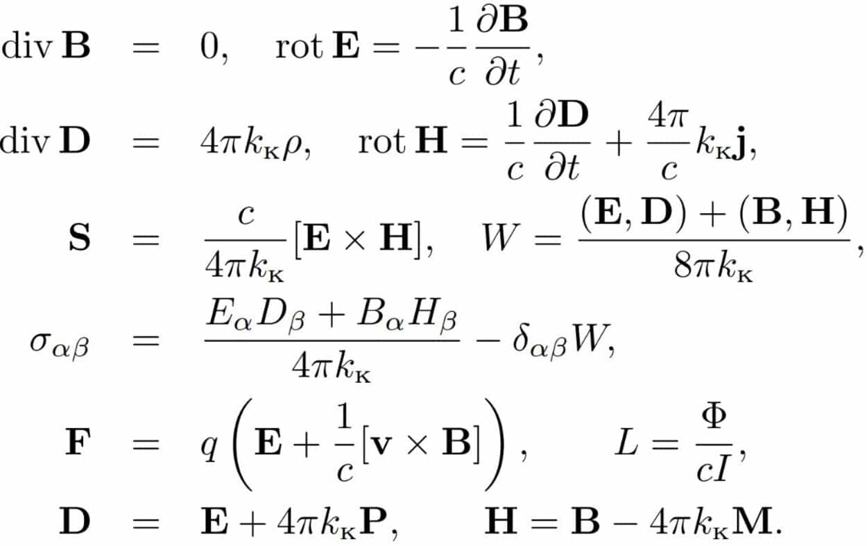
Ключевое изменение коснулось формы записи уравнений Максвелла.
Авторы переопределили физические величины, описывающие электромагнитное поле, — векторы напряженности и индукции, — так, чтобы они приобрели одинаковую размерность. В результате уравнения поля в новой, физико-технической системе, становятся практически идентичными по форме уравнениям в гауссовой системе.
Удобство предложенного подхода заключается в его консерватизме и прагматичности. Авторы статьи показали, как примирить практические единицы, исторически возникшие до полного понимания теории относительности, с симметриями пространства-времени, которые эта теория выявила. Такой подход делает переход от классической СИ к физико-технической (ФТ) системе простым и интуитивно понятным, не требующим отказа от привычных измерительных стандартов. Она позволяет сохранить всю мощь и удобство СИ в прикладных задачах, но при записи фундаментальных законов природы возвращает ту простоту и красоту, ради которой физики так ценили гауссову систему.
Практическая значимость этой работы в первую очередь лежит в сфере образования. Использование ФТ-системы в университетских курсах теоретической физики и электродинамики способно устранить существующую путаницу и позволить студентам с самого начала изучать предмет в рамках единой, логически последовательной концепции.
Однако мало предложить эту систему. Чтобы ее приняло большое количество людей и она стала общепринятой, необходимо начать ее использовать и активно внедрять.
В настоящее время уже издан учебник по курсу «Механика и теория поля», в котором последовательно используется предложенная ими система единиц, и он уже применяется на кафедре теоретической физики им. Л.Д. Ландау в МФТИ. Ранее в 2015-м году при МФТИ издали учебно-методическое пособие «Подобие и размерность».
Михаил Иванов, доцент кафедры теоретической физики МФТИ, прокомментировал: «Когда в 2015 году на семинаре в Институте общей физики РАН (ИОФАН) меня спросили, написал ли я учебник, используя свою систему единиц, я вынужден был ответить отрицательно. Теперь, десять лет спустя я, наконец, могу ответить на этот вопрос положительно».
В более широкой перспективе работа открывает путь к созданию единой и универсальной системы систем единиц, в которой практический мир измерений, основанный на СИ, естественным образом соединяется с теоретическими системами, используемыми в квантовой физике и космологии.
В последние годы содержание кошек дома без возможности свободного выгула все чаще преподносят как идеальную модель, которая ограждает дикую фауну от нападений и обеспечивает благополучие самих питомцев. Подобные утверждения в разных частях мира звучат от некоторых защитников природы и представителей властей. Однако группа ветеринаров из Австралии и Дании недавно раскритиковала такой подход. Ученые не спорят с тем, что кошки влияют на уязвимые экосистемы и что ограничение их свободы — действенная мера по смягчению этого эффекта. Тем не менее исследователи настаивают, что жизнь в изоляции для питомцев совсем не благо. Заявляющие обратное как минимум ошибаются, а в худшем случае намеренно вводят общественность в заблуждение.
Названия многих брендов несут ясный для потребителей смысл, но нередко в наименованиях присутствуют несуществующие, вымышленные слова. Специалисты в сфере маркетинга и бизнеса объяснили, какие преимущества может принести такой прием и за счет чего. Позитивный эффект также подтвердили в серии экспериментов.
Ученые в крупном исследовании сравнили состоящих в браке людей с детьми и без по общему уровню любви и трем ее составляющим, характеризующим физическое влечение, эмоциональную близость и намерение сохранять отношения.
Проанализировав данные наблюдений, полученных с помощью наземных обсерваторий за последние два десятилетия, астрономы обнаружили потенциально обитаемый мир — суперземлю Gliese 251 c (GJ 251 с). Планета обращается вокруг красного карлика на расстоянии около 18 световых лет от Земли и считается одним из самых перспективных кандидатов для поисков жизни.
В современном доме, насыщенном разнообразной техникой, удлинители стали незаменимым атрибутом, позволяющим обеспечить электропитанием все необходимые устройства. Однако мало кто задумывается, что привычное использование этого аксессуара может нести серьезную угрозу безопасности. По статистике, значительная часть бытовых пожаров происходит из-за неправильной эксплуатации электропроводки и вспомогательных устройств. Какие приборы категорически нельзя подключать через удлинители и почему это может привести к трагическим последствиям, рассказывает профессор кафедры наноэлектроники РТУ МИРЭА, доктор физико-математических наук Алексей Юрасов.
Исследователи объяснили, как цивилизация майя добивалась высокой точности в предсказании солнечных затмений на протяжении столетий. Для коррекции накапливающихся астрономических неточностей они использовали сложную систему пересекающихся календарных таблиц.
Проанализировав данные наблюдений, полученных с помощью наземных обсерваторий за последние два десятилетия, астрономы обнаружили потенциально обитаемый мир — суперземлю Gliese 251 c (GJ 251 с). Планета обращается вокруг красного карлика на расстоянии около 18 световых лет от Земли и считается одним из самых перспективных кандидатов для поисков жизни.
В современном доме, насыщенном разнообразной техникой, удлинители стали незаменимым атрибутом, позволяющим обеспечить электропитанием все необходимые устройства. Однако мало кто задумывается, что привычное использование этого аксессуара может нести серьезную угрозу безопасности. По статистике, значительная часть бытовых пожаров происходит из-за неправильной эксплуатации электропроводки и вспомогательных устройств. Какие приборы категорически нельзя подключать через удлинители и почему это может привести к трагическим последствиям, рассказывает профессор кафедры наноэлектроники РТУ МИРЭА, доктор физико-математических наук Алексей Юрасов.
Согласно новой гипотезе, сознание возникает не только из-за активности нейронов, но и благодаря физическим процессам — электромагнитным полям от движения жидкости в мозге. Эта модель, как и ее предшественники, пока носит теоретический характер, но предлагает нестандартный взгляд на проблему синхронизации работы разных отделов мозга.
Вы попытались написать запрещенную фразу или вас забанили за частые нарушения.
Понятно
Из-за нарушений правил сайта на ваш аккаунт были наложены ограничения. Если это ошибка, напишите нам.
Понятно
Наши фильтры обнаружили в ваших действиях признаки накрутки. Отдохните немного и вернитесь к нам позже.
Понятно
Мы скоро изучим заявку и свяжемся с Вами по указанной почте в случае положительного исхода. Спасибо за интерес к проекту.
Понятно
