Уведомления
Авторизуйтесь или зарегистрируйтесь, чтобы оценивать материалы, создавать записи и писать комментарии.
Авторизуясь, вы соглашаетесь с правилами пользования сайтом и даете согласие на обработку персональных данных.
Биосенсоры выявили тепловой шок при использовании важных препаратов
На вызванный разными факторами стресс клетка может отвечать схожим образом. Это касается активации шаперонов — «защитников» белков, которые спасают их от потери формы и слипания. Ученые МФТИ и Института общей генетики им. Н. И. Вавилова РАН использовали люминесцентные биосенсоры на основе бактерий, чтобы оценить эффект ряда лекарств (в том числе от рака и антибиотиков) на синтез шаперонов.
Когда организм сталкивается со стрессом — будь то сильный перегрев, нехватка кислорода или воздействие токсинов,— белки внутри клеток начинают терять свою правильную природную форму. Такие поврежденные белки становятся «липкими» и образуют агрегаты — опасные скопления, которые остаются в клетке и могут привести к ее гибели.
На помощь приходят молекулярные шапероны. Это специальные белки, чья задача — предотвращать агрегацию других поврежденных белков и помогать им вернуть себе правильную форму. Те шапероны, число которых резко возрастает именно при тепловом стрессе (так они были впервые описаны), называют белками теплового шока (БТШ). Именно они помогают клетке пережить различные негативные воздействия, а не только перегрев.
Белки теплового шока — это целая система клеточных «защитников». Ученые делят их на группы в зависимости от размера и механизма функционирования. По своему «весу» (молекулярной массе) они могут быть как относительно крошечными, так и гигантских размеров. Среди них есть конститутивные белки, которые работают в клетке постоянно, поддерживая «повседневный порядок», и преимущественно индуцибельные белки, которые массово синтезируются только в случае угрозы, стресса.
Вопрос также важен для медицины. Вещества, применяемые в фармакологии, нередко имеют побочные эффекты. Поэтому ученые решили проверить способность подобных веществ вызывать состояние клеточного теплового шока. Для этого применили живые биосенсоры, используя для их создания самую обычную бактерию,— кишечную палочку Escherichia coli. В нее добавили гены, нужные для люминесценции (свечения) из наземной бактерии Photorhabdus luminescens, но «связали» их активность с работой защитных систем клетки.
Принцип работы таких биосенсоров прост. В ДНК бактерии встраивают специальную генетическую конструкцию — плазмиду. Вставка содержит лампочку, которая загорается, если срабатывает «выключатель» — промотор определенного защитного гена. Он активируется, когда бактерия сталкивается с токсином или иным стрессом, в частности перегревом.
Модель позволяет быстро и наглядно тестировать различные вещества в двух режимах: если свечение усиливается — мы нашли активатор промотора гена, если затухает или не меняется — то не активатор. В итоге получился живой датчик.
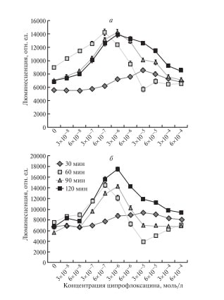
Биофизики наладили четкий алгоритм для такого рода исследований. Сначала бактерии переносят в свежий питательный бульон с селективным антибиотиком и дают им расти в течение двух часов при температуре до 37°C. Затем микробы распределяют по ячейкам 96-луночного планшета. В каждую лунку добавляют исследуемое вещество в разных дозах, а в некоторые — обычную воду в качестве контроля, чтобы сравнить результат. Результаты опубликованы в журнале «Генетика».
В течение следующих двух часов ученые внимательно следят за реакцией клеток. Каждые 30 минут специальный высокочувствительный прибор (ридер) измеряет яркость свечения бактерий. Это позволяет точно узнать, как именно и с какой скоростью микроорганизмы реагируют на химическое воздействие, превращая невидимые молекулярные процессы в понятные числа и графики.
Многочисленные проверенные в работе лекарства, повреждающие ДНК (генотоксиканты), в том числе препараты от онкологических и инфекционных болезней, оказали заметный эффект на белки клетки, заставляя срабатывать биосенсоры. Показано, что 10 из 12 протестированных препаратов вызывают бактериальный тепловой шок. Среди них антибиотики ципрофлоксацин и налидиксовая кислота, цитостатики 5-фторурацил и митомицин С, а также антибактериальное средство диоксин. Исключением стал препарат актиномицин D. Он оказался настолько токсичным, что просто убивал бактерии раньше, чем они успевали засветиться.
Эта экспериментальная модель — своего рода универсальный инструмент. Те же светящиеся бактерии и вещества, которые заставляют белки работать активнее, в будущем могут помочь ученым решить и обратную задачу: найти ингибиторы (блокаторы) их активности.
Создано уже более 100 различных тестов, превращающих обычных микробов в высокочувствительные живые приборы. В основе технологии лежат фундаментальные знания о том, как бактерии общаются и реагируют на внешние угрозы. Самыми популярными стали рекомбинантные биосенсоры на базе кишечной палочки (E. coli).
Клетки-биосенсоры стали незаменимыми в самых разных областях науки: от исследований деталей работы генных сетей внутри клетки до оценки состояния окружающей среды и безопасности новых лекарств. Они позволяют быстро и наглядно определить, насколько опасен тот или иной препарат для живого организма.

«Данные о возникновении теплового шока могут быть использованы при терапии перечисленными фармакологическими веществами. Относительная репрезентативность и простота исследования стала достижимой в результате применения цельноклеточных биосенсоров E. coli pGrpE-lux и E. coli pIbpA-lux. Это генно-инженерные люминесцирующие бактериальные клетки, которые отвечают увеличением свечения при тепловом шоке. При этом уровень люминесценции удобно считывается детектором в режиме реального времени»,— прокомментировал руководитель работы, заведующий лабораторией молекулярной генетики МФТИ Илья Манухов.
Латентный железодефицит и железодефицитная анемия остаются одними из самых распространенных патологических состояний. Пациенты нередко задаются вопросом: возможно ли скорректировать дефицит железа, лишь обогатив рацион железосодержащими продуктами, вроде красного мяса, свеклы, гранатов? Несмотря на логичность этого подхода, современные клинические рекомендации единодушно указывают на его несостоятельность в качестве основного лечения.
Канализационный коллектор — скрытый источник загрязнения воздуха в городе. Через его вентиляционные шахты накопленный сероводород и другие агрессивные газы вместе с патогенной микрофлорой выталкиваются на поверхность при сверхплановом заполнении. Эта ядовитая смесь вредит здоровью людей и разъедает бетонные конструкции канализаций. Существующие сегодня защитные механизмы и дорогостоящие вентиляционные системы очистки имеют ограничения: конечные фильтры при достижении пиковой концентрации опасных испарений уходят в аварийный режим. Ученые ПНИПУ и компании «Вентмонтаж» разработали новое решение на основе гидрофильтра. Внедрение системы избавит воздух на 96,8% от механических примесей и на 65% снизит выброс агрессивных газов, а с помощью озонатора обеспечит полное обеззараживание.
17 февраля 2026 года произойдет первое в этом году солнечное затмение, которое будет иметь кольцеобразный тип. Ученый Пермского Политеха Евгений Бурмистров рассказал, почему февральское затмение не похоже ни на одно другое, когда его ожидать и кому посчастливится стать свидетелем редчайшего «огненного кольца».
В 1980-х годах большую популярность приобрела борьба с озоновыми дырами. Из-за нее хладагенты из хлорфторгулеродов заменили на аналоги из гидрофторуглеродов. Теперь ученые выяснили, что эта замена — как и следующие за ней, уже в рамках борьбы с глобальным потеплением — ведет к накоплению в атмосфере довольно опасных «вечных химикатов».
Латентный железодефицит и железодефицитная анемия остаются одними из самых распространенных патологических состояний. Пациенты нередко задаются вопросом: возможно ли скорректировать дефицит железа, лишь обогатив рацион железосодержащими продуктами, вроде красного мяса, свеклы, гранатов? Несмотря на логичность этого подхода, современные клинические рекомендации единодушно указывают на его несостоятельность в качестве основного лечения.
Паническое расстройство характеризуется физическим напряжением, усиленным сердцебиением и одышкой. Ученые из Бразилии нашли способ бороться с этим недугом, создавая схожее физическое напряжение, но в спокойной и контролируемой обстановке — во время физупражнений.
От рыб произошли все наземные позвоночные, включая нас, но как именно рыбы стали главным населением морей — до последнего времени оставалось неясным. Авторы новой научной работы попытались доказать, что причиной этого было вымирание, возможно, вызванное белыми ночами.
Международная команда палеонтологов описала новый вид динозавра размером с крупную современную птицу. Он носил на голове плотный костяной нарост, который эти животные, возможно, использовали для внутривидовых разборок. Находка показывает, что даже мелкие хищники мелового периода могли решать конфликты не только когтями и зубами, но и ударами головой.
Образцы грунта, взятые астронавтами полвека назад, вложили еще один важный кирпич в здание научной картины мира: гипотеза о том, что Земля исходно была сухой, не стыкуется с фактами. Похоже, идею о невозможности сохранения большого количества воды на «теплых» планетах придется пересмотреть.
Вы попытались написать запрещенную фразу или вас забанили за частые нарушения.
Понятно
Из-за нарушений правил сайта на ваш аккаунт были наложены ограничения. Если это ошибка, напишите нам.
Понятно
Наши фильтры обнаружили в ваших действиях признаки накрутки. Отдохните немного и вернитесь к нам позже.
Понятно
Мы скоро изучим заявку и свяжемся с Вами по указанной почте в случае положительного исхода. Спасибо за интерес к проекту.
Понятно
