Уведомления
Авторизуйтесь или зарегистрируйтесь, чтобы оценивать материалы, создавать записи и писать комментарии.
Авторизуясь, вы соглашаетесь с правилами пользования сайтом и даете согласие на обработку персональных данных.
Загадочный магнетизм сверхпроводников: динамика во времени оказалась важнее пространства
Ученые из лаборатории компьютерного дизайна материалов Центра фотоники и двумерных материалов МФТИ предложили новую теоретическую модель, которая объясняет загадочное поведение магнитных свойств в высокотемпературных сверхпроводниках. Ключевым открытием стало понимание того, что для корректного описания этих материалов необходимо учитывать, как их магнитные взаимодействия меняются во времени, а не только в пространстве. Этот динамический подход позволил разрешить давнее противоречие между теорией и экспериментом.
История высокотемпературной сверхпроводимости — одна из самых интригующих проблем современной физики. С момента открытия в 1986 году материалов, способных проводить электрический ток без потерь при относительно высоких температурах, ученые бьются над разгадкой их тайн. Одни из самых перспективных кандидатов на эту роль — купраты, сложные оксиды меди. В исходном состоянии эти материалы представляют собой так называемые антиферромагнетики. Их можно представить как идеальную шахматную доску, где спины (собственные магнитные моменты) электронов на соседних атомах меди строго упорядочены и направлены в противоположные стороны. Этот строгий порядок делает материал изолятором. Но стоит внести в него небольшое количество примесей, или, как говорят физики, легировать его, как происходит чудо: материал становится сверхпроводником, а его магнитная структура кардинально меняется.
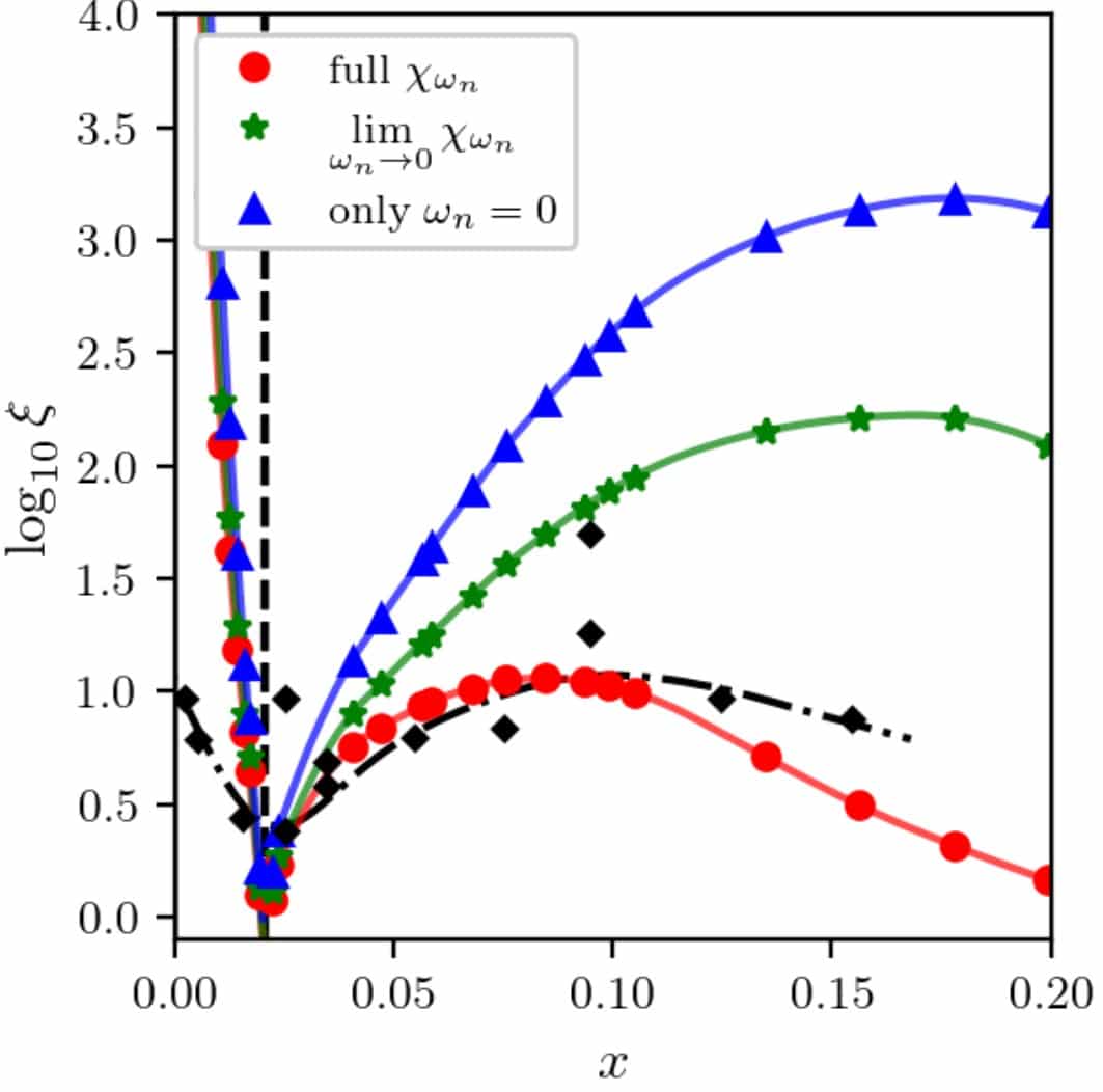
Идеальный дальний магнитный порядок, простирающийся через весь кристалл, исчезает. Вместо него остаются лишь небольшие, разрозненные «островки» динамического магнитного порядка. Расстояние, на котором сохраняются остаточные магнитные корреляции, называется корреляционной длиной. И именно здесь крылась одна из главных загадок: экспериментальные измерения показывали, что эти магнитные «островки» очень малы, их размер составляет всего несколько межатомных расстояний. Однако существующие теоретические модели предсказывали значительно большие значения, расходясь с реальностью на порядок. Этот разрыв мешал созданию единой теории, способной описать переход от магнитного изолятора к высокотемпературному сверхпроводнику.
Физики-теоретики из лаборатории компьютерного дизайна материалов Центра фотоники и двумерных материалов МФТИ обратили внимание на тонкий, но, как оказалось, решающий аспект, который в предыдущих работах часто упрощался. Речь идет о так называемой спиновой жесткости — параметре, описывающем, насколько сложно «возмутить» упорядоченную магнитную структуру. Эту жесткость можно разделить на пространственную, отвечающую за изменения порядка от точки к точке, и временную, связанную с динамикой, то есть с колебаниями спинов во времени. Большинство предыдущих моделей рассматривали временную жесткость как постоянную величину. Результаты исследования опубликованы в разделе Letters журнала Physical Review B.
Российские физики предположили, что именно в этом упрощении и кроется корень проблемы. Исследовав детально калибровочную инвариантность микроскопических моделей, они построили более полную модель, в которой временная спиновая жесткость стала динамической величиной, зависящей от частоты колебаний. Полученную модель ученые детально проверили, сравнив ее результаты с микроскопическими подходами.
Расчеты показали, что с ростом частоты колебаний временная спиновая жесткость в купратах резко падает. Этот эффект, который можно сравнить с «размягчением» магнитной системы на высоких частотах, приводит к сильному подавлению квантовых флуктуаций и не позволяет магнитному порядку распространяться на большие расстояния. В итоге вычисленная длина корреляции оказалась на удивление короткой и практически идеально совпала с экспериментальными данными для одного из самых изученных купратов, La₂-ₓSrₓCuO₄.

На основе своей модели ученые построили фазовую диаграмму, своего рода «карту магнитных состояний» материала в зависимости от температуры и концентрации примесей. Эта карта предсказала существование лишь очень узкой области легирования, в которой при низких температурах может возникать устойчивый дальний магнитный порядок — еще один факт, хорошо согласующийся с наблюдениями.

Андрей Катанин, главный научный сотрудник лаборатории компьютерного дизайна материалов Центра фотоники и двумерных материалов МФТИ, прокомментировал результаты работы: «Успех нашей модели открывает дорогу для дальнейших, еще более точных исследований. Мы показали, какой физический механизм играет ключевую роль. Теперь можно двигаться дальше, усложняя модель, чтобы учесть и другие факторы, например локальные флуктуации, выходящие за рамки используемого приближения, или влияние структурного беспорядка. Каждый такой шаг приближает нас к конечной цели — созданию всеобъемлющей теории высокотемпературной сверхпроводимости, которая однажды может привести к созданию материалов, способных изменить наш технологический мир».
Иван Горемыкин, сотрудник лаборатории компьютерного дизайна материалов, аспирант кафедры вычислительной физики конденсированного состояния и живых систем МФТИ, добавил: «Наше исследование показывает, что для понимания этих сложных систем нельзя пренебрегать их динамикой. Представьте, что вы пытаетесь понять характер движения толпы по одной-единственной фотографии — вы упустите все взаимодействия. Мы же, по сути, перешли от статичной «фотографии» магнитной системы к полноценному «видео», учтя, как система реагирует на возмущения разной частоты. Оказалось, что именно эта динамика и определяет хрупкость магнитного порядка, наблюдаемую в экспериментах».
Проведенное исследование не только решает конкретную давнюю проблему, но и указывает на важность динамических эффектов в сильно коррелированных электронных системах — классе материалов, к которому относятся не только сверхпроводники, но и многие другие экзотические вещества с потенциалом для будущих технологий. Понимание тонкого баланса между магнетизмом и сверхпроводимостью — один из главных вызовов современной физики конденсированного состояния, и новое исследование представляет собой важный шаг на пути к его преодолению.
Что стало настоящим фундаментом власти — умение обрабатывать землю или контроль над некоторыми культурными растениями? Авторы нового исследования пришли к выводу, что появление первых крупных сообществ и государств зависело не от земледелия в целом, а от выращивания определенных злаков. Эти культуры было легко хранить и, еще важнее, невероятно просто облагать налогом, что и дало толчок появлению цивилизации.
Гамма-излучение, зафиксированное гамма-телескопом «Ферми», по мнению исследователя, может объясняться только распадом вимпов, частиц темной материи, в существовании которых множество других физиков уже разуверились. Если независимые проверки подтвердят открытие, это может существенно изменить космологическую картину мира.
Коллектив российских ученых из МИРЭА — Российского технологического университета, Центра фотоники двумерных материалов МФТИ, Института металлургии и материаловедения им. А. А. Байкова РАН и ряда других ведущих научных центров провел глубокое исследование кристаллической структуры широко используемых пьезоэлектрических материалов на основе цирконата-титаната свинца. Используя метод рентгеноструктурного анализа, исследователи впервые смогли в деталях установить, как небольшие химические добавки кардинально меняют фазовый состав керамики и напрямую определяют ее электрофизические характеристики. Это открывает путь к целенаправленному дизайну «умных» материалов с заранее заданными свойствами для передовой электроники и сенсорики.
Так называемые зумеры и альфа, несмотря на молодой возраст, уже формируют ключевые поведенческие и потребительские тренды. Ученые Пермского Политеха рассказали, почему обозначение поколений начали с конца алфавита, как альфа и зумеры отличаются в способности к терпеливости, совмещении цифрового и реального «Я», подходу к профессиональной деятельности и отношении к финансам, какое мышление пришло на смену клиповому и как использование искусственного интеллекта повлияет на авторитет родителей.
Коллектив российских ученых из МИРЭА — Российского технологического университета, Центра фотоники двумерных материалов МФТИ, Института металлургии и материаловедения им. А. А. Байкова РАН и ряда других ведущих научных центров провел глубокое исследование кристаллической структуры широко используемых пьезоэлектрических материалов на основе цирконата-титаната свинца. Используя метод рентгеноструктурного анализа, исследователи впервые смогли в деталях установить, как небольшие химические добавки кардинально меняют фазовый состав керамики и напрямую определяют ее электрофизические характеристики. Это открывает путь к целенаправленному дизайну «умных» материалов с заранее заданными свойствами для передовой электроники и сенсорики.
Ученые разработали штамм цианобактерии, способный поглощать в три раза больше фосфора из сточных вод
Фосфор – элемент, играющий ключевую роль в росте растений. В сельском хозяйстве он используется в составе многих минеральных удобрений. В то же время фосфор, содержащийся в сточных водах — серьезный загрязнитель, который при попадании в водоемы нарушает баланс экосистем и вызывает цветение водорослей. Ученые Национального исследовательского центра «Курчатовский институт» и Южного федерального университета предложили новый экологичный способ выделения фосфора из сточных вод с помощью фотосинтезирующих микроорганизмов.
Человеческие языки разнообразны, но это разнообразие ограничивается повторяющимися закономерностями. Пытаясь описать правила, которым подчиняются различия в грамматике, лингвисты сформулировали ряд так называемых грамматических универсалий — утверждений, предположительно верных для всех или большинства языков мира. Международная команда ученых провела статистический анализ на материале 2430 языков и обнаружила, что соответствующими действительности можно считать около трети таких утверждений.
По расчетам, большинство «гостей» из других звездных систем летят к Земле примерно со стороны созвездия Геркулес. Скорее всего, они время от времени падают на нашу планету, просто мы еще не научились это замечать. Как удалось вычислить, чаще всего они должны падать зимой и где-то в окрестностях экватора.
Ученые открыли новый, ранее неизвестный способ передвижения бактерий по поверхностям, для которого не нужны жгутики. Эти микроорганизмы на краю колонии переваривают сахара, выделяют метаболиты и создают осмотическое давление. Оно вызывает микроскопическое «цунами», и на нем бактерии катятся вперед.
Вы попытались написать запрещенную фразу или вас забанили за частые нарушения.
Понятно
Из-за нарушений правил сайта на ваш аккаунт были наложены ограничения. Если это ошибка, напишите нам.
Понятно
Наши фильтры обнаружили в ваших действиях признаки накрутки. Отдохните немного и вернитесь к нам позже.
Понятно
Мы скоро изучим заявку и свяжемся с Вами по указанной почте в случае положительного исхода. Спасибо за интерес к проекту.
Понятно
