Уведомления
Авторизуйтесь или зарегистрируйтесь, чтобы оценивать материалы, создавать записи и писать комментарии.
Авторизуясь, вы соглашаетесь с правилами пользования сайтом и даете согласие на обработку персональных данных.
Астрофизики раскрыли механизм образования воды на астероидах
Ученые из Института космических исследований РАН и МФТИ раскрыли химический механизм, объясняющий появление молекул воды на поверхностях астероидов.
Подробные результаты теоретического анализа и физико-химического моделирования представлены на страницах журнала «Вестник Московского университета. Серия 3. Физика. Астрономия».
Астероиды традиционно воспринимались как безводные и стерильные объекты. Однако данные последних десятилетий, полученные как с помощью наземных обсерваторий, так и в ходе космических миссий, заставили ученых пересмотреть эти представления. Оказалось, что даже на богатых силикатами астероидах S-типа присутствует молекулярная вода в концентрациях, сопоставимых с теми, что ранее находили в освещенных Солнцем областях Луны. Возникает закономерный вопрос: откуда в этом холодном вакууме берется вода? Традиционная гипотеза о том, что она заносится исключительно кометами, не дает полной картины, а попытки объяснить ее синтез прямым воздействием солнечного ветра пока что не дали удовлетворительного результата.
Проблема заключается в том, что поверхность астероида постоянно подвергается «космическому выветриванию». Потоки маленьких метеоритов дробят породу в мелкую пыль — реголит, а жесткое ультрафиолетовое излучение и частицы солнечного ветра, состоящего в основном из протонов, непрерывно атакуют эти песчинки. Теоретически протон из солнечного ветра может внедриться в кристаллическую решетку силиката, например диоксида кремния, и соединиться с атомом кислорода, образуя гидроксильную группу OH. Но для рождения полноценной молекулы воды требуется второй протон, который должен попасть в ту же самую точку пространства в тот же самый миг. Вероятность такого события в условиях разреженного потока частиц ничтожно мала, что делает классическую схему «прямого синтеза» крайне сомнительной.

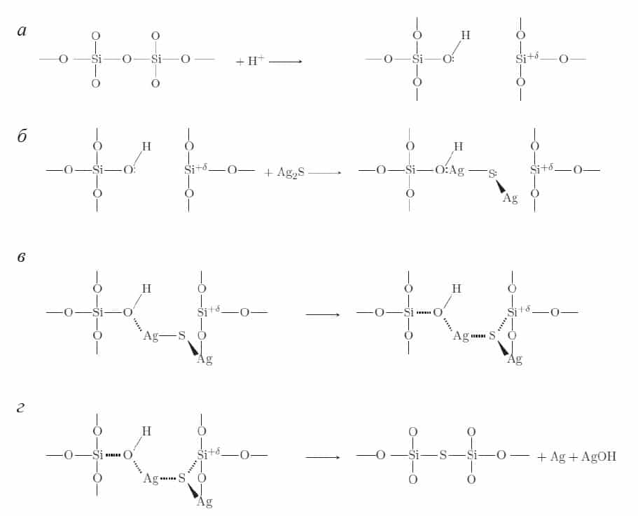
Ученые из ИКИ РАН и МФТИ решили подойти к задаче с другой стороны, обратив внимание на минеральный состав реголита и опыт изучения лунного грунта. Они сфокусировали внимание на возможности существования промежуточных химических соединений, которые могли бы «копить» водород и облегчать отделение кислорода от прочной кремниевой основы. Ключевым элементом в их модели стал сульфид серебра — минерал, который ранее был обнаружен в образцах, доставленных со станции Луна-24. Хотя серебро считается редким элементом в космосе, его присутствие в виде микромасштабных включений в полевом шпате или кварце может радикально менять локальную химию процесса.

Предложенный механизм состоит из нескольких этапов. Сначала протон солнечного ветра, ударяясь о поверхность астероида, проникает вглубь зерна реголита на глубину около сотни нанометров. Там он разрывает связь между кремнием и кислородом в кварцевой решетке, образуя временную гидроксильную группу. В этот момент в игру вступает сульфид серебра. Благодаря диффузии, которая в условиях постоянного нагрева солнечным светом протекает достаточно быстро, атомы серебра могут перемещаться к месту контакта кварца и сульфида. Серебро обладает уникальным свойством: оно способно «перехватить» гидроксильную группу у кремния, образуя гидроксид серебра.
Юлия Резниченко, ассистент кафедры высшей математики МФТИ, младший научный сотрудник ИКИ РАН, прокомментировала свою работу: «Главное преимущество предложенной нами схемы заключается в том, что она не требует одновременного попадания двух протонов в одну точку, что статистически почти невозможно. Гидроксид серебра оказывается достаточно стабильным промежуточным звеном, своего рода долгоживущим хранилищем. Когда спустя время в ту же область попадает еще один протон солнечного ветра, он легко взаимодействует с этим соединением. Поскольку серебро в электрохимическом ряду активности стоит значительно правее водорода, протон просто вытесняет металл, объединяясь с гидроксильной группой в молекулу воды. На выходе мы получаем чистую воду и частицы самородного серебра, инкорпорированные в грунт».

Этот процесс, по мнению исследователей, наиболее эффективно протекает в тонком приповерхностном слое реголита толщиной всего в десятую долю микрона. Именно здесь создаются идеальные условия для контакта минеральных фаз и обстрела протонами. Учитывая постоянное перемешивание грунта из-за ударов микрометеоритов, за геологические периоды значительная часть астероидного вещества проходит через эту «химическую лабораторию». Расчеты показывают, что доля воды, образующейся таким путем, может составлять около миллионной части от массы реголита, что вполне согласуется с данными наблюдений за астероидами S-типа.
Новый подход объясняет, как на поверхности небесного тела может удерживаться вода, которая по всем законам физики должна мгновенно испаряться в вакуум. Молекулы воды оказываются «заперты» внутри кристаллической матрицы или в микроскопических порах между зернами минералов. Они становятся частью структуры реголита, что позволяет им сохраняться даже под палящими лучами Солнца, где температура поверхности может достигать значений, при которых открытый лед неминуемо сублимирует.
Присутствие воды в реголите фундаментально меняет физические свойства астероида и прежде всего его взаимодействие со светом и окружающей плазмой. Когда солнечный свет падает на поверхность, он выбивает электроны, вследствие чего над астероидом формируется облако заряженных частиц, которое называют плазменно-пылевой экзосферой. Наличие воды в грунте меняет энергию (работу выхода электрона), которую нужно затратить, чтобы «оторвать» электрон от поверхности.
Сергей Попель, заведующий лабораторией плазменно-пылевых процессов в космических объектах ИКИ РАН, профессор МФТИ, отметил: «Работа выхода электрона в чистом льде значительно выше, чем у обычного грунта на Луне или астероиде. Это означает, что даже небольшое содержание воды в реголите способно ослабить процессы фотоэффекта и формирования пылевой плазмы над соответствующим участком поверхности. В частности, меняются накопленный электрический заряд поверхности и заряды парящих над ней пылевых частиц, что впрямую влияет на динамику пыли над астероидом. Таким образом, наблюдая за поведением пыли, мы можем косвенно судить о том, насколько «влажным» является грунт небесного тела».
В качестве способа проверки своей теории авторы предлагают объединить два независимых метода исследования. Первый — это оптические наблюдения за пылью вблизи поверхностей астероидов, которые позволяют оценить их электрические параметры. Второй — детектирование потоков нейтронов, проходящих через грунт. Нейтронное зондирование, которое уже успешно применялось на Луне в рамках миссии Lunar Reconnaissance Orbiter, крайне чувствительно к присутствию водорода в составе воды или гидроксильных групп. Совпадение данных обоих методов станет веским доказательством работы «серебряного механизма».
Если вода может синтезироваться на поверхности астероидов под действием солнечного ветра, то это расширяет список потенциально обитаемых миров и меняет наши представления о том, как вода доставлялась на молодую Землю. Ученые планируют детально изучить роль других металлов и их сульфидов в подобных процессах.
Биологи получили прямые доказательства поедания косатками представителей собственного вида. Оторванные спинные плавники со следами больших зубов указали на охоту плотоядных китообразных на слабую соседнюю популяцию. Угроза смертельных нападений заставила рыбоядные группы косаток создавать неразлучные семейные кланы.
Исследователи смоделировали последствия распыления в марсианской атмосфере аэрозолей для создания искусственного парникового эффекта. Выяснилось, что это может привести к парадоксальному результату: вместо ожидаемого более комфортного климата будущая колония на «нагретой» Красной планете окажется посреди такого же лютого холода и притом окружена обезвоженным грунтом.
В ноябре 2025 года при взлете российской ракеты с Байконура к МКС с существенной высоты упала кабина обслуживания 8У216. Поскольку в 2010-х годах из экономии средств у нас отказались от дублирования стартовых площадок, это создало ситуацию временной невозможности пилотируемых полетов. Теперь, всего через три месяца после происшествия, «Роскосмос» смог решить проблему, поставив запасную кабину обслуживания, найденную на складах Минобороны. Весенние пуски к МКС, запланированные ранее, теперь имеют шансы пройти в срок.
В ноябре 2025 года при взлете российской ракеты с Байконура к МКС с существенной высоты упала кабина обслуживания 8У216. Поскольку в 2010-х годах из экономии средств у нас отказались от дублирования стартовых площадок, это создало ситуацию временной невозможности пилотируемых полетов. Теперь, всего через три месяца после происшествия, «Роскосмос» смог решить проблему, поставив запасную кабину обслуживания, найденную на складах Минобороны. Весенние пуски к МКС, запланированные ранее, теперь имеют шансы пройти в срок.
В той части Пиренеев, которые находятся на территории Испании, исследователи обнаружили первые доказательства добычи золота в эпоху Римской империи. На месте древних рудников нашли сложные гидравлические сооружения и остатки водохранилища, возраст которых определили с помощью метода оптического датирования. Открытие прольет свет на инженерные приемы римлян и поставит точку в многолетнем споре: действительно ли римляне добывали золото в этом регионе.
Разное отношение домашних животных к хозяевам давно стало предметом споров, обсуждений и шуток. Ученые из Венгрии показали, что собаки демонстрируют по отношению к человеку уровень альтруизма, сходный с детским, тогда как кошки ищут в партнерстве с человеком прежде всего свою выгоду.
Астрономы недавно проанализировали базу данных о падающих на Землю объектах и пришли к выводу, что два из них прибыли из межзвездного пространства. Известна не только дата, но и место падения каждого из них.
«Любить лишь можно только раз», — писал поэт Сергей Есенин, а герои культовых сериалов приходили к выводу, что «настоящая» влюбленность случается в жизни максимум дважды. Однако ни один из этих тезисов не подкреплен научными данными. Американские исследователи подошли к вопросу иначе: опросили более 10 тысяч человек и вывели среднее число сильных влюбленностей, возможных в течение жизни.
В ноябре 2025 года при взлете российской ракеты с Байконура к МКС с существенной высоты упала кабина обслуживания 8У216. Поскольку в 2010-х годах из экономии средств у нас отказались от дублирования стартовых площадок, это создало ситуацию временной невозможности пилотируемых полетов. Теперь, всего через три месяца после происшествия, «Роскосмос» смог решить проблему, поставив запасную кабину обслуживания, найденную на складах Минобороны. Весенние пуски к МКС, запланированные ранее, теперь имеют шансы пройти в срок.
Вы попытались написать запрещенную фразу или вас забанили за частые нарушения.
Понятно
Из-за нарушений правил сайта на ваш аккаунт были наложены ограничения. Если это ошибка, напишите нам.
Понятно
Наши фильтры обнаружили в ваших действиях признаки накрутки. Отдохните немного и вернитесь к нам позже.
Понятно
Мы скоро изучим заявку и свяжемся с Вами по указанной почте в случае положительного исхода. Спасибо за интерес к проекту.
Понятно
